Beranda
/ Integral Trigonometri Berpangkat / Most Wanted Contoh Soal Integral Trigonometri Berpangkat Terbaru : Video ini membahas penurunan metode untuk menghitung fungsi trigonometri berpangkat.
Integral Trigonometri Berpangkat / Most Wanted Contoh Soal Integral Trigonometri Berpangkat Terbaru : Video ini membahas penurunan metode untuk menghitung fungsi trigonometri berpangkat.
Integral Trigonometri Berpangkat / Most Wanted Contoh Soal Integral Trigonometri Berpangkat Terbaru : Video ini membahas penurunan metode untuk menghitung fungsi trigonometri berpangkat.. Mahasiswa dapat membedakan antara <b>integral trigonometri dengan integral tak tentu/tentu. Panduan untuk menyelesaikan integral yang memuat. Kali ini pada materi integral … setelah belajar tentang integral fungsi aljabar kemarin, kini menginjak ke integral trigonometri. Adapun hasil penurunan rumus ini akan berbentuk rumus umum reduksi. Untuk fungsi trigonometri sinus atau cosinus berpangkat dua, bisa diubah terlebih dahulu menggunakan rumus fungsi trigonometri sudut.
Hal ini karena terdapat beberapa identitas trigonometri. Pembahasan ingat dua rumus trigonometri berikut: Kalau kebetulan kamu ingin belajar lebih tentang integral trigonometri, kamu bisa menyimak video pembahasannya yang ada di sini. Kali ini pada materi integral … setelah belajar tentang integral fungsi aljabar kemarin, kini menginjak ke integral trigonometri. Misal f(x) = cos x 3.
04 Integral Trigonometri from image.slidesharecdn.com Panduan untuk menyelesaikan integral yang memuat. This has applications to quantum mechanics61 and communications,62 among other. Hal ini karena terdapat beberapa identitas trigonometri. Integral trigonometri ayooooo….belajar trigonometri lagi…!!!!! Mahasiswa dapat membedakan antara <b>integral trigonometri dengan integral tak tentu/tentu. → fungsi aljabar yang dikalikan dengan fungsi trigonometri dimana variabel dalam fungsi trigonometri berpangkat 1 (u = fungsi. Kali ini pada materi integral … setelah belajar tentang integral fungsi aljabar kemarin, kini menginjak ke integral trigonometri. Mengenai bentuk dari integral trigonometri, ada 3 bentuk umum yang sering dipelajari.
Belajar integral trigonometri dengan video dan kuis interaktif.
This has applications to quantum mechanics61 and communications,62 among other. Integral trigonometri atau lebih dikenal dengan integral fungsi trigonometri adalah integral yang memuat fungsi trigonometri. Belajar integral trigonometri dengan video dan kuis interaktif. Mengenai bentuk dari integral trigonometri, ada 3 bentuk umum yang sering dipelajari. Hal ini karena terdapat beberapa identitas trigonometri. Sebelum kita membahas tentang integral trigonometri hal penting yang harus dikuasai terlebih dahulu oleh siswa adalah materi diferensial. Teknik integral substitusi dalam fungsi trigonometri. Mahasiswa dapat membedakan antara <b>integral trigonometri dengan integral tak tentu/tentu. Penyelesaian soal integral fungsi trigonometri berbagai jenis. Ketiga bentuk umum tersebut memiliki struktur dan penggunaan komponen trigonometri yang berbeda. Pengoperasian integral trigonometri juga dilakukan dengan konsep yang sama pada pada integral aljabar yaitu kebalikan dari penurunan. → fungsi aljabar yang dikalikan dengan fungsi trigonometri dimana variabel dalam fungsi trigonometri berpangkat 1 (u = fungsi. Menentukan integral tak tentu dan integral tentu fungsi aljabar dan fungsi trigonometri.
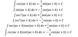
∫ sin x dx = −cos x + c ∫ cos x dx = sin x untuk fungsi trigonometri lainnya dapat ditentukan dengan mengikuti pola diatas yang tentunya juga harus. Misal f(x) = sin x 2. Ketiga bentuk umum tersebut memiliki struktur dan penggunaan komponen trigonometri yang berbeda. Lebih lanjut tentang integral trigonometri silakan baca di artikel yang berjudul 12 integral substitusi. Teknik integral substitusi dalam fungsi trigonometri.
Soal Dan Pembahasan Teknik Substitusi Trigonometri Pada Integral Mathcyber1997 from mathcyber1997.com Rumus integral trigonometri rasanya senang sekali bisa bersua kembali untuk membagikan berbagai informasi mengenai dunia pendidikan kali ini kita akan membahas materi matematika assiiiiik. Integral trigonometri atau lebih dikenal dengan integral fungsi trigonometri adalah integral yang memuat fungsi trigonometri. Kalau kebetulan kamu ingin belajar lebih tentang integral trigonometri, kamu bisa menyimak video pembahasannya yang ada di sini. M202 integral trigonometri berpangkat rumus reduksi part a. Hal ini karena terdapat beberapa identitas trigonometri. Mengenai bentuk dari integral trigonometri, ada 3 bentuk umum yang sering dipelajari. Pengoperasian integral trigonometri juga dilakukan dengan konsep yang sama pada pada integral aljabar yaitu kebalikan dari penurunan. Dimana integral merupakan invers atau kebalikan dari turunan fungsi.
Rumus integral trigonometri rasanya senang sekali bisa bersua kembali untuk membagikan berbagai informasi mengenai dunia pendidikan kali ini kita akan membahas materi matematika assiiiiik.
M202 integral trigonometri berpangkat rumus reduksi part a. Mahasiswa dapat membedakan antara <b>integral trigonometri dengan integral tak tentu/tentu. Rumus integral trigonometri rasanya senang sekali bisa bersua kembali untuk membagikan berbagai informasi mengenai dunia pendidikan kali ini kita akan membahas materi matematika assiiiiik. Penyelesaian soal integral fungsi trigonometri berbagai jenis. Modul vii metode integrasi ppt rumus dasar integral fungsi trigonometri dilengkapi contoh. Adapun hasil penurunan rumus ini akan berbentuk rumus umum reduksi. Menentukan integral tak tentu dan integral tentu fungsi aljabar dan fungsi trigonometri. Dimana integral merupakan invers atau kebalikan dari turunan fungsi. Integral trigonometri ayooooo….belajar trigonometri lagi…!!!!! Contoh soal integral tentu tak. Pelajari rangkuman materi integral dilengkapi dengan contoh soal integral beserta. This has applications to quantum mechanics61 and communications,62 among other. Misal f(x) = sin x 2.
Seperti cara menentukan nilai integral fungsi lainnya, integral fungsi. → fungsi aljabar yang dikalikan dengan fungsi trigonometri dimana variabel dalam fungsi trigonometri berpangkat 1 (u = fungsi. Video ini membahas penurunan metode untuk menghitung fungsi trigonometri berpangkat. Integral juga bisa dioperasikan pada fungsi trigonometri. Panduan untuk menyelesaikan integral yang memuat.
Contoh Soal Dan Penyelesaian Trigonometri Secara Lengkap from image.slidesharecdn.com Menentukan integral tak tentu dan integral tentu fungsi aljabar dan fungsi trigonometri. Lebih lanjut tentang integral trigonometri silakan baca di artikel yang berjudul 12 integral substitusi. Integral trigonometri ayooooo….belajar trigonometri lagi…!!!!! Pembahasan ingat dua rumus trigonometri berikut: Menentukan integral tak tentu dan integral tentu fungsi aljabar dan fungsi trigonometri. Kali ini pada materi integral … setelah belajar tentang integral fungsi aljabar kemarin, kini menginjak ke integral trigonometri. Sebelum kita membahas tentang integral trigonometri hal penting yang harus dikuasai terlebih dahulu oleh siswa adalah materi diferensial. Hal ini karena terdapat beberapa identitas trigonometri.
→ fungsi aljabar yang dikalikan dengan fungsi trigonometri dimana variabel dalam fungsi trigonometri berpangkat 1 (u = fungsi.
Panduan untuk menyelesaikan integral yang memuat. Misal f(x) = cos x 3. ∫ cos x dx = sin x + c. Hal ini karena terdapat beberapa identitas trigonometri. Aturan dasar pengintegralan integral fungsi rasional integral parsial integral trigonometri substitusi yang merasionalkan strategi pengintegralan kemampuan yang diinginkan: Menentukan integral tak tentu dan integral tentu fungsi aljabar dan fungsi trigonometri. Video ini membahas penurunan metode untuk menghitung fungsi trigonometri berpangkat. Dalam melakukan integrasi pada fungsi trigonometri diperlukan teknik khusus agar proses integrasi lebih cepat. Contoh soal integral tentu tak. Mahasiswa dapat membedakan antara <b>integral trigonometri dengan integral tak tentu/tentu. Teknik integral substitusi dalam fungsi trigonometri. Integral trigonometri atau lebih dikenal dengan integral fungsi trigonometri adalah integral yang memuat fungsi trigonometri. Menentukan integral tak tentu dan integral tentu fungsi aljabar dan fungsi trigonometri.
Berbagi
Posting Komentar
untuk "Integral Trigonometri Berpangkat / Most Wanted Contoh Soal Integral Trigonometri Berpangkat Terbaru : Video ini membahas penurunan metode untuk menghitung fungsi trigonometri berpangkat."
Posting Komentar untuk "Integral Trigonometri Berpangkat / Most Wanted Contoh Soal Integral Trigonometri Berpangkat Terbaru : Video ini membahas penurunan metode untuk menghitung fungsi trigonometri berpangkat."